更多相關產品
- LGJ-ZP02型機器人柔性裝配集成制造實訓系統
- LG-BWL06型工業機器人工程考核實訓系統
- LG-MPS05型模塊式工業機器人柔性自動化生產線實訓系統(五站)
- LG-MPS15型機電一體化綜合實訓考核系統
- LG-DMT05型工業機器人機電一體化智能實訓平臺
- LG-MPS03型柔性自動化生產線及工業機器人應用實訓系統(八站)
- LG-IRBL01型并聯機器人分揀工作站
- LGWD-05型五自由度機器人實訓平臺
- LGJ-ZG01型微工廠智能制造集成培訓裝置
- LGJS-03型模塊式環形柔性自動生產線實訓系統
- LGH-DQ01型工業機器人自動化綜合實訓平臺
- LG-GZS05型工業機器人罐裝生產流水線實訓系統
- LGJ-DQ01型工業機器人電氣調試實訓裝置
- LG-IRZ01型工業機器人應用工作站
- LGL-CZ06型工業機器人機械拆裝及電氣拆裝平臺
- LG-IRW01A型工業機器人故障診斷與維護平臺
- LGH-IRW03型工業機器人裝調應用與維護實訓平臺
- LG-RCZ04型工業機器人維護維修實訓工作站
- LG-IRW01型工業機器人故障診斷實訓平臺
- LG-RCZ02型工業機器人拆裝綜合實訓系統
- LG-RMD05型工業機器人碼垛工作站
- LG-CNW01型工業機器人上下料數控車床實訓平臺
- LGL-DM06型工業機器人打磨去毛刺實操工作站
- LGL-DM06型工業機器人打磨去毛刺實操工作站
- LGJ-DM01型工業機器人打磨工作站
- LGL-MD06型工業機器人碼垛實操工作站
- LGL-PT06型工業機器人噴涂實操工作站
- LGL-HJ06型工業機器人焊接實操工作站
- LG-IRH01型機器人焊接工作站實訓平臺
- LG-IRBL02型并聯機器人視覺分揀工作站
- LGCO-BOT01型協作機器人技術及應用綜合實訓平臺
- LGJ-ZH02型工業機器人組合式應用實訓裝置
- LG-GJQS1型工業機器人與智能視覺系統應用實訓平臺
- LG-GJQS2A型工業機器人與智能視覺系統應用實訓平臺
- LGY-PCB01型工業機器人PCB異形插件工作站
- LGY-CX01型FMS工業機器人智能制造實訓平臺
- LG-IRF03型機器人RFID分揀實訓系統
- LG-IRF01型機器人光機電一體化分揀實訓系統
- LG-X102型工業機器人操作與運維工作站
- LGX-B03型工業機器人運用與維護實訓平臺
LG-BWL06型工業機器人工程考核實訓系統

一、系統介紹
1、系統組成
LG-BWL06型 工業機器人工程考核實訓系統主要由碼垛機立庫系統、AGV小車、托盤流水線、物品盒流水線、視覺系統、六自由度工業機器人組成。
(1) 碼垛機立庫系統,用于存儲物品托盤,并且按照要求碼垛機完成出庫和入庫;
(2) AGV小車,用于把安裝有物品的托盤從碼垛機立庫系統對接為,沿鋪設的磁條運行到托盤流水線;
(3) 托盤流水線,負責把貨品托盤輸送到視覺檢測工位,經視覺定位識別輸送到抓取工位;
(4) 物品盒流水線,負責成品物品盒的裝箱及傳送;
(5) 視覺系統,對托盤流水線上的托盤上的物品進行識別,并把識別結果發送至主控系統的PLC;
(6) 六自由度工業機器人系統,根據主控系統 PLC 發送的數據,對托盤流水線上的托盤上的物品進行分揀,放置于物品盒流水線上的指定物品盒中,同時把空托盤放置于空托盤庫中。
2、系統整體設計目標
本系統再現工業現場從倉儲、搬運、分揀以及包裝的全過程,將目前工業自動化現場前沿的實用技術和方案引入到比賽當中,通過比賽,讓學生能熟練掌握自動化科技的前沿應用技術,為我國從制造大國發展到制造強國,為工業智能制造培養一批有素質,能干活,干好活的新一代職業能手。
(1) 選用6軸關節型工業機器人+堆垛直角坐標機器人+AGV移動機器人,該三種機器人都是目前工業現場應用比較廣泛的機器人;——切合工業現場,體現機器人的多樣性;
(2) 將立體倉庫(碼垛機器人)+工件運輸(AGV機器人)+檢測分揀(機器視覺)+機器人自動分揀裝配(6軸機器人)+自動回收+自動包裝完美的融合。——詮釋智能工廠和智能物流的概念;
(3) 設置多物件和多工位+多倉儲,可以展現出非常多的組合場景, 不僅可以展現學生的控制系統和機器人的編程能力,同時也能展現學生的流程規劃策略和優化能力;——真實展示實際工業和物流系統場景,非常適合于實訓和比賽。
(4) 整個系統采用網絡化控制構架,以及最新的控制系統。——學生能夠了解先進的控制技術以及編程方法。
3、工作流程
1、系統組成
LG-BWL06型 工業機器人工程考核實訓系統主要由碼垛機立庫系統、AGV小車、托盤流水線、物品盒流水線、視覺系統、六自由度工業機器人組成。
(1) 碼垛機立庫系統,用于存儲物品托盤,并且按照要求碼垛機完成出庫和入庫;
(2) AGV小車,用于把安裝有物品的托盤從碼垛機立庫系統對接為,沿鋪設的磁條運行到托盤流水線;
(3) 托盤流水線,負責把貨品托盤輸送到視覺檢測工位,經視覺定位識別輸送到抓取工位;
(4) 物品盒流水線,負責成品物品盒的裝箱及傳送;
(5) 視覺系統,對托盤流水線上的托盤上的物品進行識別,并把識別結果發送至主控系統的PLC;
(6) 六自由度工業機器人系統,根據主控系統 PLC 發送的數據,對托盤流水線上的托盤上的物品進行分揀,放置于物品盒流水線上的指定物品盒中,同時把空托盤放置于空托盤庫中。
2、系統整體設計目標
本系統再現工業現場從倉儲、搬運、分揀以及包裝的全過程,將目前工業自動化現場前沿的實用技術和方案引入到比賽當中,通過比賽,讓學生能熟練掌握自動化科技的前沿應用技術,為我國從制造大國發展到制造強國,為工業智能制造培養一批有素質,能干活,干好活的新一代職業能手。
(1) 選用6軸關節型工業機器人+堆垛直角坐標機器人+AGV移動機器人,該三種機器人都是目前工業現場應用比較廣泛的機器人;——切合工業現場,體現機器人的多樣性;
(2) 將立體倉庫(碼垛機器人)+工件運輸(AGV機器人)+檢測分揀(機器視覺)+機器人自動分揀裝配(6軸機器人)+自動回收+自動包裝完美的融合。——詮釋智能工廠和智能物流的概念;
(3) 設置多物件和多工位+多倉儲,可以展現出非常多的組合場景, 不僅可以展現學生的控制系統和機器人的編程能力,同時也能展現學生的流程規劃策略和優化能力;——真實展示實際工業和物流系統場景,非常適合于實訓和比賽。
(4) 整個系統采用網絡化控制構架,以及最新的控制系統。——學生能夠了解先進的控制技術以及編程方法。
3、工作流程

基本運行流程描述:
(1) 物品以托盤形式存儲在原料倉庫中(物品共有 8 種不同形狀高度的樣式,每個托盤上隨機放置 0-3 個物品,樣式也隨機,可能相同,也可能不同)。
(2) 物品隨托盤從碼垛機立庫出庫,由AGV 小車搬輸送至托盤流水線;
(3) 托盤在托盤流水線的 4 號工位停止,通過智能相機識別物品數量、類型、相對于標定原點的位置、相對于標定姿態的旋轉角度并傳輸給PLC;
(4) 識別完成后,托盤流水線把托盤傳輸到 1 號位置后停止;
(5) 主控系統把需要分揀物品的 XYZ 坐標偏移和旋轉角度通過MODBUS TCP 協議依次發送給六自由度工業機器人系統,六自由度工業機器人機器人按照事先編寫的程序流程,執行抓取分揀;
(6) 六自由度工業機器人根據放置位置的XYZ 坐標偏移和旋轉角度把物品放入禮品箱中。(禮品箱有 8 個格子,相同的工件放到同一
個格子,每個格子最多放 2 件物品。碼垛部分偏移運算由主控系統計算,整合到Z 軸偏移中給六自由度工業機器人)。
(7) 把物品取完后,六自由度工業機器人把空托盤也搬運放置到空托盤庫中。
(8) 物品裝滿物品箱后,流轉到下料碼垛區。(每個比賽區不會 使用全部物品樣式,應取其中 2-3 種。當中轉箱裝滿或物品無法按照規則放入物品箱時流入下一區域);
(9)當物品箱碼到一定數量或原料出庫完成任務時停止比賽。
二、設備安裝
1、設備安裝
本設備共包括:工業機器人及控制柜、PLC 控制柜、托盤流水線、物品盒擺放流水線、AGV 小車等。比賽所用場地為 4m×8m,如圖 2-1 所示為裝備之間的大致布局,現場安裝時并不一定嚴格按照圖中所標尺寸安裝,允許有所變動。在安裝時需要注意以下事項:
(1) 調節工業機器人安裝底座的四個地腳,使工業機器人的安裝底座水平;(水平儀)
(2) 調節托盤流水線和物品盒擺放流水線的水平;(水平儀)
(3) 以工業機器人為基準,確保托盤流水線與工業機器人的 Y 軸方向平行,確保物品盒擺放流水線與工業機器人的 X 軸方向平行;(具體調節方式見節 2.2)
(4) 確保托盤流水線前端滑輪的平切面低于AGV 小車的平帶面;(見圖 2-2)。
(5) 確保智能相機與托盤流水線垂直。(見圖 2-3)
(1) 物品以托盤形式存儲在原料倉庫中(物品共有 8 種不同形狀高度的樣式,每個托盤上隨機放置 0-3 個物品,樣式也隨機,可能相同,也可能不同)。
(2) 物品隨托盤從碼垛機立庫出庫,由AGV 小車搬輸送至托盤流水線;
(3) 托盤在托盤流水線的 4 號工位停止,通過智能相機識別物品數量、類型、相對于標定原點的位置、相對于標定姿態的旋轉角度并傳輸給PLC;
(4) 識別完成后,托盤流水線把托盤傳輸到 1 號位置后停止;
(5) 主控系統把需要分揀物品的 XYZ 坐標偏移和旋轉角度通過MODBUS TCP 協議依次發送給六自由度工業機器人系統,六自由度工業機器人機器人按照事先編寫的程序流程,執行抓取分揀;
(6) 六自由度工業機器人根據放置位置的XYZ 坐標偏移和旋轉角度把物品放入禮品箱中。(禮品箱有 8 個格子,相同的工件放到同一
個格子,每個格子最多放 2 件物品。碼垛部分偏移運算由主控系統計算,整合到Z 軸偏移中給六自由度工業機器人)。
(7) 把物品取完后,六自由度工業機器人把空托盤也搬運放置到空托盤庫中。
(8) 物品裝滿物品箱后,流轉到下料碼垛區。(每個比賽區不會 使用全部物品樣式,應取其中 2-3 種。當中轉箱裝滿或物品無法按照規則放入物品箱時流入下一區域);
(9)當物品箱碼到一定數量或原料出庫完成任務時停止比賽。
二、設備安裝
1、設備安裝
本設備共包括:工業機器人及控制柜、PLC 控制柜、托盤流水線、物品盒擺放流水線、AGV 小車等。比賽所用場地為 4m×8m,如圖 2-1 所示為裝備之間的大致布局,現場安裝時并不一定嚴格按照圖中所標尺寸安裝,允許有所變動。在安裝時需要注意以下事項:
(1) 調節工業機器人安裝底座的四個地腳,使工業機器人的安裝底座水平;(水平儀)
(2) 調節托盤流水線和物品盒擺放流水線的水平;(水平儀)
(3) 以工業機器人為基準,確保托盤流水線與工業機器人的 Y 軸方向平行,確保物品盒擺放流水線與工業機器人的 X 軸方向平行;(具體調節方式見節 2.2)
(4) 確保托盤流水線前端滑輪的平切面低于AGV 小車的平帶面;(見圖 2-2)。
(5) 確保智能相機與托盤流水線垂直。(見圖 2-3)

圖 2-1 設備布局


圖 2-2 托盤流水線高度調節

圖 2-3 智能相機安裝
2、平行度調節
如圖 2-4 所示,在工業機器人末端夾具上安裝了一個激光筆,具體調節步驟如下:
(1) 利用工業機器人的工具坐標系調整機器人的姿態,使得激光筆始終垂直于工業機器人的安裝基面;
(2)首先控制工業機器人運動到托盤流水線上方合適的高度,將激光筆發出的激光對準流水線架上的鋁型材邊線,利用機器人的工具坐標系,使機器人沿著基坐標系的 Y 方向運動(注意降低機器人的運動速度),注意觀察激光是否偏離鋁型材邊線,并作適當調整。
(3)利用同樣的方法調整物品擺放流水線,只是使機器人沿著坐標系的X 方向運動。
如圖 2-4 所示,在工業機器人末端夾具上安裝了一個激光筆,具體調節步驟如下:
(1) 利用工業機器人的工具坐標系調整機器人的姿態,使得激光筆始終垂直于工業機器人的安裝基面;
(2)首先控制工業機器人運動到托盤流水線上方合適的高度,將激光筆發出的激光對準流水線架上的鋁型材邊線,利用機器人的工具坐標系,使機器人沿著基坐標系的 Y 方向運動(注意降低機器人的運動速度),注意觀察激光是否偏離鋁型材邊線,并作適當調整。
(3)利用同樣的方法調整物品擺放流水線,只是使機器人沿著坐標系的X 方向運動。

圖 2-4 平行度調整
三、6 自由度關節型機器人
6 自由度關節型機器人,如下圖 3.1 所示。6 個自由度,最大負荷 20KG,臂展>1.5m。
6 自由度關節型機器人,如下圖 3.1 所示。6 個自由度,最大負荷 20KG,臂展>1.5m。
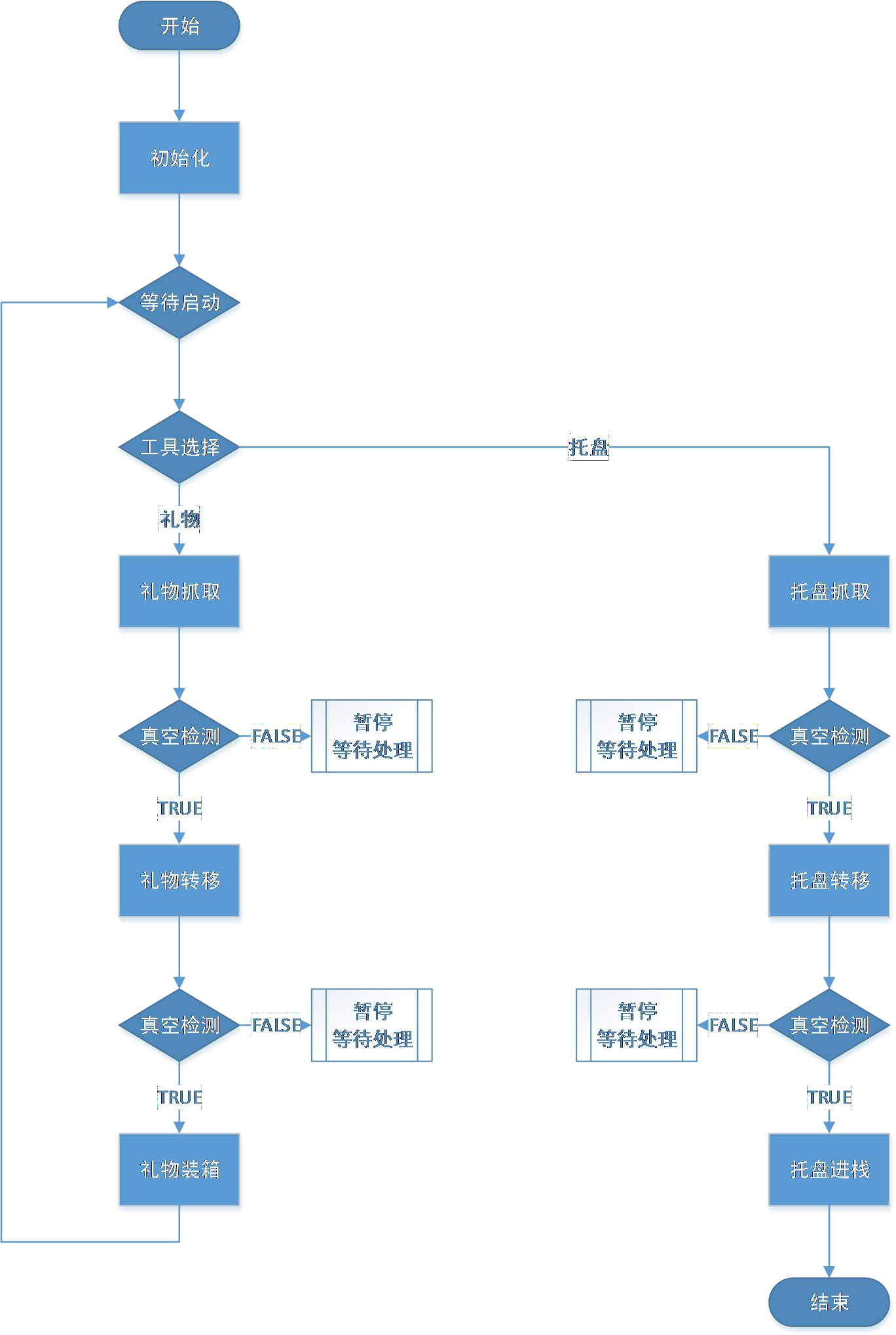
機器人工作流程如下所示:

四、 視覺識別系統
本系統安裝于托盤流水線中,當托盤貨物到視覺檢測工位時, X-SIGHT 機器視覺系統對托盤內的貨物進行視覺識別,并把識別的位置,形狀等特征數據給到中央控制器和六關節機器人,由機械人根據目標存放位置執行相應的動作。
本系統安裝于托盤流水線中,當托盤貨物到視覺檢測工位時, X-SIGHT 機器視覺系統對托盤內的貨物進行視覺識別,并把識別的位置,形狀等特征數據給到中央控制器和六關節機器人,由機械人根據目標存放位置執行相應的動作。

圖 4.1 智能視覺系統整體圖
五、流水線
1、托盤流水線
負責把貨品托盤輸送到視覺檢測工位,經視覺定位識別輸送到抓取工位,由機械手將托盤中的貨品,通過真空吸盤吸放到相應物品盒中。當貨品托盤中的貨物全部取空時,由機械手通過另一套真空吸盤將托盤吸放到空托盤存放處。
1、托盤流水線
負責把貨品托盤輸送到視覺檢測工位,經視覺定位識別輸送到抓取工位,由機械手將托盤中的貨品,通過真空吸盤吸放到相應物品盒中。當貨品托盤中的貨物全部取空時,由機械手通過另一套真空吸盤將托盤吸放到空托盤存放處。

圖 5.1 托盤流水線效果圖

圖 5.2 托盤流水線倍速鏈實物圖

圖 5.3 托盤流水線與 AGV 對接口實物圖
2、物品盒流水線
物品盒流水線采用板鏈結構,負責成品物品盒的裝箱及傳送,為5工位流水線,裝在3個物品盒(占用3個工位)。
物品盒流水線采用板鏈結構,負責成品物品盒的裝箱及傳送,為5工位流水線,裝在3個物品盒(占用3個工位)。

圖 5.4 物品盒流水線效果圖

圖 5.6 物品盒流水線實物圖
本系統中6自由度工業機器人負責把托盤流水線上托盤中的貨品抓取到,根據規定的目標物品盒,放入到相應的位置。機械手裝載貨品限定在5工位的中間工位。如需裝載左右物品盒,通過左右移位將邊上的物品盒移到中間工位。
如圖所示,從左到右設為1-5工位,當前物品盒處于2 、3 、4工位,定義為物品盒A、B、C,機械手裝載3號工位的物品盒,即B物 品盒。如果需要裝載A物品盒,則流水線傳送機構動作右移,當右檢測物品盒傳感器接通時,流水線停止運行,此時機械手裝載A物品盒。如果下一個要裝載的是C物品盒,則流水線向左運行,碰到左面物品盒檢測傳感器時停止運行。系統中另設有零位檢測傳感器,以檢測物品盒處于中間工位。為防止物品盒滑落,在左右極限位置設有左右限位開關,以防止控制失誤,致物品盒跌落。
物品盒流水線由步進電機控制,實際控制策略可以采用脈沖定位控制的方式。
六、 電氣控制系統
本系統采用國際上先進的控制理念和最新的控制產品,采用網絡化控制模式,系統主要控制框圖如 6.1 所示。
如圖所示,從左到右設為1-5工位,當前物品盒處于2 、3 、4工位,定義為物品盒A、B、C,機械手裝載3號工位的物品盒,即B物 品盒。如果需要裝載A物品盒,則流水線傳送機構動作右移,當右檢測物品盒傳感器接通時,流水線停止運行,此時機械手裝載A物品盒。如果下一個要裝載的是C物品盒,則流水線向左運行,碰到左面物品盒檢測傳感器時停止運行。系統中另設有零位檢測傳感器,以檢測物品盒處于中間工位。為防止物品盒滑落,在左右極限位置設有左右限位開關,以防止控制失誤,致物品盒跌落。
物品盒流水線由步進電機控制,實際控制策略可以采用脈沖定位控制的方式。
六、 電氣控制系統
本系統采用國際上先進的控制理念和最新的控制產品,采用網絡化控制模式,系統主要控制框圖如 6.1 所示。

圖 6.1 設備電氣網絡拓撲圖
如上圖所示,整個系統通過工業以太網總線,把工業機器人、主控流水線 PLC、碼垛機立庫系統 PLC、碼垛機立庫系統觸摸屏、主控流水線觸摸屏、視覺系統、變頻器以及編程開發計算機等均通過以太網連接。編程開發計算機負責開發調試程序、視覺系統特征識別開發以及機器人示教等編程。碼垛立庫系統和主控流水線觸摸屏負責管理碼垛立庫系統、主控流水線的運行參數,以及系統報警和提示信息等。



